확률에서 포함 배제의 원리는 간단히 말해서 여러개의 집합이 있으면 그 집합들 중 한개 이상이라도 실현될 확률을 말합니다.
예를 들어 봅시다.
어떤 RPG 게임에서 마왕을 잡기 위해서 용사는 다음과 같은 동료를 확률적으로 데려올 수 있다고합니다.
검사
전사
도적
마법사
의사
한 유저는 동료를 데려올 확률을 조사했고 결과는 다음과 같았습니다.
검사 80% 확률
전사 60% 확률
도적 90% 확률
마법사 60% 확률
의사 20% 확률
그리고 게임사가 이 RPG 게임을 만들 때 마왕을 잡을 수 있는 요소 조합을 정해놓았고 다음과 같은 조합이라고 합니다.
{검사, 전사, 도적}
{검사, 마법사}
{전사, 마법사}
{의사}
만약 용사는 각 동료 당 한번씩 밖에 교섭 시도를 못한다고 할 때 교섭이 전부 끝난뒤 마왕을 쓰러뜨릴 수 있는 확률은 얼마나 될까요?
이러한 계산을 할 때 편리하게 이용되는게 포함 배제의 원리입니다.
포함 배제의 원리는 저 조합들 중 한 조합이라도 맞출 확률 계산을 제공할 수 있습니다.
계산을 해보죠
먼져 각 조합을 다음과 같이 정의합시다
A={검사, 전사, 도적}
B={검사, 마법사}
C={전사, 마법사}
D={의사}
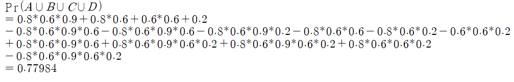
그러면 포함제외의 원리에 따라서 다음과 같은 수식으로 표현할 수 있습니다
그리고 계산하면 다음과 같습니다.
약 78%정도 되는 유저가 마왕을 잡을 수 있겠군요 나머지 마왕을 못잡는 22%유저는 안타깝지만 현금을 지르는 수밖에요
'통계학개념' 카테고리의 다른 글
신뢰성공학에서 TTT(Total Time on Test)의 개념은 무엇일까요? (0) | 2020.06.13 |
---|---|
카이제곱(카이스퀘어) 적합도 검정을 쉽게 풀이해봅시다! (0) | 2020.05.31 |
최대우도추정(MLE)의 개념은 무엇일까요? (0) | 2020.05.30 |
이항분포와 푸아송분포 연관성은 무엇일까? (0) | 2020.05.21 |
WRITTEN BY
,